石英晶体谐振器各级温度系数的确定
很多生产厂家采购石英晶体谐振器时,对工作温度都有要求,因为怕产品会容易发热或者爆炸。常规的贴片晶振工作温度范围是-30℃~+85℃,-40℃~+85℃;高要求的例如车规级的,一般是-40℃~+105℃,-40℃~+125℃甚至是-40℃~+150℃都有,根据产品的性能和要求选择。工作温度与频率,精度,负载电容,封装尺寸并称为晶振五大参数。
图3.2.3表示AT切型频率温度特性的典型测量结果。图中,T0为某一参考温度,Tm和Tn为极大点和极小点的温度,(△f/f0)m和(△f/f0)n分别为极大点和极小点的相对频率,a0、b0、c0与这些量的关系为
这说明,只要测得AT切型晶体元件的(△f/f0)m、(△f/f0)n和Tm、Tn、T0等的数值,然后代入上式(3.2.6),即可得到所需的a0、b0、c0的数值。
除了用频率温度特性来描写贴片晶振元件的温度特性外,还经常用频率温度系数
来表示晶体元件的温度特性,频率温度系数的数学表示式为
TF=1/f0(∂f/∂T) (3.2.7)
式中,TF为频率温度系数,1/f0(∂f/∂T)为频率随温度的相对变化率。应该注意
TF和a0、b0、c0的之间的区别,TF为任意温度T时的频率温度系数,而a0、b0
C0为参考温度T0时的一级、二级、三级温度系数,即:0
将式(3.2.4)代入(3.2.7) 可得:
TF=a0+2b0(T-T0)+3c0(T-T0)2; (3.2.9)
由式(3.2.9)可以看出:
(1)晶体元件的频率温度系数TF与一级、二级、三级系数有关;
(2)晶体元件的频率温度系数TF是温度的函数,因此频率温度系数是在某一温度时的频率温度系数;
(3)频率温度系数的大小,反应了石英晶体元件的温度稳定性;
(4)当T=T0时,则TF=a0,这表明只有在a0=0的条件下,才存在零温度系数,所以,a0=0的切型称为零温度系数切型。
下表给出了各级频率温度系数的数值,以及这些系数随切角的变化率,将表中有关数据代入下式,即可作出所需的频率温度特性曲线。
表3.2.1AT切各级频率温度系数的及其随切角的变化
例如,将表中人造水晶n=1,θ=35°16’的系数代入式(3.2.10)可得:
求基准角(即φ1=φ0)时的频率温度特性方程为:
对上式进行二次微分,且(∂^2(?f/f))/(∂T^2 )=0,求拐点温度:
∴T=8.35+20=28.35℃,即为拐点温度。
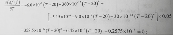
【例】求归一化频率温度度特性曲线上+3’时的向下翻转点Tm和向上翻转点Tn,φ1=3’=0.05°,对式(3.2.11)进行一次微分,(∂(?f/f))/∂T=0,则:
贝赫曼(R. Bechmann)总结了多方面试验结果,得到无源晶振元件的频率温度特性曲线族的方程如下:
对式(3.2.12)进行一次微分,且φ1=φ0 (即基准角)得:
再进行二次微分得:
则(T-Ti)=-0.078/0.0657=-1.19℃,当Ti=27℃时,则T=27-1.19=25.89℃,即为拐点温度。
【例】求归一化频率温度特性曲线上+3′时的向下翻转点Tm和向上翻转点Tn
(55页图)φ1=3’,对式(3.2.12)进行一次微分,且(∂(?f/f))/∂T=0,则:
当Ti=25.89℃时:
Tn=x1+25.89=52.958℃。
Tm=x2+25.89=-3.076℃。
上述所计算的结果与实际生产的晶振元件的测量结果比较接近。
相关技术支持
- ECS时序解决方案如何为5G网络带来好处
- NX1612SA光刻技术赋能领航下一代车载通信
- Microchip64位微处理器关键应用的安全护盾
- Microchip的MTCH9010泄漏检测设备正在彻底改变医疗器械的安全标准
- 1.5GHzSAW滤波器京瓷引领通信与测定位设备进化之路
- 京瓷公司开发了一种新的车载通信用TCXO温度补偿型晶体振荡器
- M6071系列温控晶振专为卫星通信电信和军事通信领域设计
- Abracon新款AOTA系列微型注塑电感器专为满足当今汽车行业的可靠性要求而设计
- GEYER晶振Y-DESIGN应用程序其中包括全新的KX-2系列产品
- Mtron为雷达应用提供的射频组件与解决方案

手机版












