石英晶振的热物理规格和三维热传导公式
长期被全球生产厂家大量使用的石英晶振,原材料的化学成分叫做SiO2,就是我们俗称的石英,是自然界中一种固体形态的矿石。后来由于采集过程时间长,天然数量稀少,后来开始大面积采用人造的石英和水晶,同样具有压电效应和起振功能。石英晶体谐振器已经沿用了一百多年,在实际测量中也需要用到数字方程。下面由金洛鑫电子带大家了解一下,什么是石英晶振的三维热传导方程,以及晶振的热物理参数规格。
一个三维热传导方程可写为如下通用形式
式中K为热导率,p为材料密度,c为材料比热容,T为温度,t为时间变量,A(x,y,z,t)为每单位时间、单位体积传递热给固体材料的加热速率。由于晶振的热物理系数是温度的函数,所以方程(421)是非线性的,其解非常复杂,很难得到解析解。然而事实上大部分材料的热物理参数随温度变化并不明显,故在一定条件下可假定其与温度无关,在一定的温度范围内取其平均值进行计算,这样方程(4.21)才可能得到解析解。
若激光作用下材料是均匀各向同性的,则方程(421)可简化为
式中k=K/pc为材料的热扩散率
由于求解热传导方程非常复杂,许多学者提出了一些热模型,在求解热传导方程时通常的假定条件是:
(1)被加热石英晶体谐振器是各向同性物质。
(2)材料的热物理参数与温度无关或取特定的平均值。
(3)忽略热传导中的辐射和对流,只考虑材料米表面的热传导。
4.2.2激光辐照固体材料的热模型
1.激光辐照半无限大固体模型
(1)均匀辐照半无限大固体模型
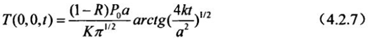
在激光与石英晶体相互作用的热转换的理论研究中,最简单的方法是将激光束作为一个均匀的热源加热半无穷大物体。当加热的横向尺寸远远大于激光加热深度时,可按一维半无限大模型讨论。一维热扩散方程可表示为:
σ为材料的对激光的吸收系数,A=(1-R) Paexp(-az)为激光在贴片晶振材料内单位体积内产生的热,式中R是反射率,P为入射到材料表面的光功率密度。求解式(4.23),可得表面温升为:
式中k=K/pc为材料的热扩散率。
(2)高斯光束辐射半无限大固体模型
实际应用中,激光束并非一个光强分布绝对均匀的热源,激光束的横向光强分布一般是高斯型的,在聚焦焦斑处的光强也是高斯分布,这时作用石英贴片晶振材料表面的激光功率密度为:
其中P为光束中心功率密度,a为光束的高斯半径。
则高斯光斑辐照下靶材的温度变化为:
材料表面中心处的温度变化为:
2.激光加热有限厚薄板的热源模型
从热学观点来看,若l为板厚,当l2≥k时,认为板为厚析;当12≤k/3板的绝热表面与受热表面温差小于10%,这时在热学上称为薄板。
激光均匀辐照有限厚固体,这时温度变化为:
相关技术支持
- ECS时序解决方案如何为5G网络带来好处
- NX1612SA光刻技术赋能领航下一代车载通信
- Microchip64位微处理器关键应用的安全护盾
- Microchip的MTCH9010泄漏检测设备正在彻底改变医疗器械的安全标准
- 1.5GHzSAW滤波器京瓷引领通信与测定位设备进化之路
- 京瓷公司开发了一种新的车载通信用TCXO温度补偿型晶体振荡器
- M6071系列温控晶振专为卫星通信电信和军事通信领域设计
- Abracon新款AOTA系列微型注塑电感器专为满足当今汽车行业的可靠性要求而设计
- GEYER晶振Y-DESIGN应用程序其中包括全新的KX-2系列产品
- Mtron为雷达应用提供的射频组件与解决方案

手机版
















