大家都知道石英晶体谐振器是具有压电效应的,因此通电之后才可以振荡,带动其他的电子零部件工作。石英晶振的压电性能是独一无二的,因此才会成为产品内部最核心最重要的元器件,想要制造一颗完整晶振,计量与测量是必不可少的。
通过前几节讨论,我们知道,晶体介电性质所遵循的电学规律是用介电方程来表达的,介电方程反映了电位移D与电场强度E之间的线性关系。晶体的弹性性质所遵循的力学规律是用弹性方程来表达的。弹性方程反映了应力张量T与应变张量S之间的线性关系。同样,晶体的压电性质所遵循的机电规律是用压电方程来表达的,压电方程反映了D、E、T、S四个量之间的线性关系。
一、压电方程
石英晶体是弹性介质,也是电介质,在应力张量T和电场E的分别作用下,
将产生弹性应变和介电电位移,即:
S弹=SET;
D介=εTE;
式中,SE为E=0(或常数)时的弹性柔顺常数矩阵;εT为T=0(或常数)时的介电常数矩阵。
石英晶体也是压电体,在T和E的作用下,将通过正、逆压电效应产生压电
应变和压电电位移,即:
S压=dtE;
D压=dT;
所以,石英晶体的总应变和总电位移为
S=S弹+S压;
D=D压+D介;
即:
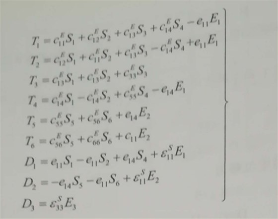
式(2.6.1)或式(2.6.2)称为石英晶体的第一类压电方程。第一类压电方程的特点是以Tj、Em为自变量,Si、Dn,为因变量,相应的压电常数为dmj。如果选SJ、Em品为自变量,Ti,Dn,为因变量,相应的压电方程为第二类压电方程为:
式中,CEij为E=0(或常数)时的短路弹性常数;εsmn为S=0(或常数)时的介电常数,称为受夹介电常数,式(2.6.3)也可以写成矩阵形式,即:
式中,压电常数矩阵e为:
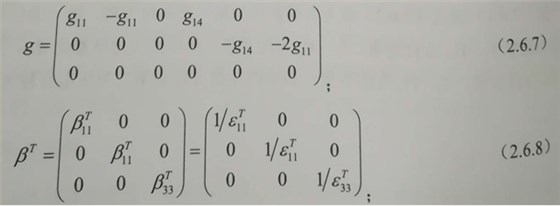
如果选Tj、Dm为自变量,Si、Em为因变量,则相应的压电方程为第三类压电方程:
式中,sD为D=0(或常数)时的弹性柔顺常数矩阵,g为压电常数矩阵:βT为自由介电隔离率矩阵。G和βT的表达式分别为:
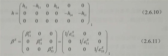
如果选Sj、Dm为自变量,Ti、En为因变量,相应的压电方程为第四类压电方程:
式中,cD为D=0(或常数)时的弹性刚度常数矩阵;h为压电常数矩阵;βS为受夹介电隔离率矩阵;h和βS的表达式分别为:

NDK晶振,贴片晶振,NX2520SA晶体
KDS晶振,贴片晶振,DST310S晶振
KDS晶振,贴片晶振,DST1610AL晶振
KDS晶振,石英晶振,AT-49晶振